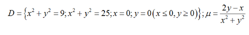
Найти массу пластинки D с заданной поверхностной плотностью 
 
Другие предметы Университет Масса и плотность масса пластинки поверхностная плотность математика университет задачи по математике интегралы вычисление массы физика и математика университетские задачи
Для того чтобы найти массу пластинки, необходимо использовать формулу для определения массы, которая учитывает поверхностную плотность и площадь пластинки. Формула имеет следующий вид:
M = σ * A
где:
В вашем вопросе указано значение поверхностной плотности как 1162,36,5. Однако это значение выглядит некорректно, так как в нем присутствует запятая и точка, что может указывать на ошибку в записи. Давайте предположим, что это опечатка, и уточним значение поверхностной плотности. Например, это может быть 1162.36 или 1162,365. Для дальнейших расчетов необходимо уточнить это значение.
После того как вы уточните значение поверхностной плотности, следующим шагом будет определение площади пластинки. Если площадь не задана, необходимо иметь дополнительную информацию о форме и размерах пластинки, чтобы рассчитать ее площадь.
Например, если пластинка имеет форму прямоугольника, то площадь рассчитывается как произведение длины и ширины:
A = длина * ширина
Если пластинка имеет форму круга, площадь рассчитывается как:
A = π * радиус2
После того как вы определите площадь, подставьте значения поверхностной плотности и площади в формулу для массы и выполните расчет.
Пожалуйста, уточните значение поверхностной плотности и предоставьте дополнительную информацию о форме и размерах пластинки, чтобы мы могли продолжить расчет и дать вам более точный ответ.