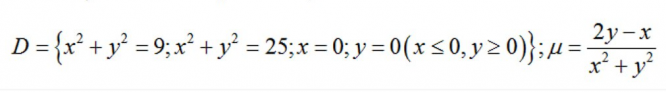
Найти массу пластинки D с заданной поверхностной плотностью
![]()
Другие предметы Университет Поверхностные интегралы масса пластинки математический анализ поверхностная плотность университет задача по математике интегралы вычисление массы курсовая работа физика математические методы
Чтобы найти массу пластинки, нам необходимо использовать формулу для вычисления массы тела с заданной поверхностной плотностью. Формула для массы пластинки определяется как:
Масса (M) = Поверхностная плотность (σ) × Площадь поверхности (A)
В данном случае нам дана поверхностная плотность σ = 2,36,5611. Однако, чтобы использовать эту формулу, нам также необходимо знать площадь поверхности пластинки D.
Вот шаги, которые нужно выполнить:
Если вам известна площадь пластинки, подставьте её значение в формулу и выполните вычисления. Если площадь неизвестна, вам потребуется её определить, используя дополнительную информацию о геометрических характеристиках пластинки.
Пожалуйста, предоставьте больше информации о пластинке, чтобы мы могли помочь вам с дальнейшими расчетами.