Чтобы найти определитель матрицы, давайте сначала запишем ее в виде:
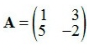
Матрица A =
Мы имеем матрицу 2x2, и определитель такой матрицы можно найти по формуле:
det(A) = ad - bc
где:
Теперь подставим значения в формулу:
det(A) = (6 * -1) - (-1 * 0)
Выполним умножения:
det(A) = -6 - 0
Таким образом, определитель матрицы равен:
det(A) = -6
Ответ: определитель матрицы равен -6.