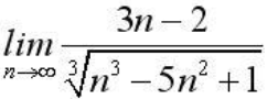
Найти предел lim (3n − 2) / ∛(n³ − 5n² + 1), n⟶∞
Другие предметы Университет Пределы функций предел высшая математика университет математика lim (3n − 2) ∛(n³ − 5n² + 1) n→∞ математический анализ пределы функции изучение пределов университетские задачи высшая математика пределы
Чтобы найти предел lim (3n − 2) / ∛(n³ − 5n² + 1) при n стремящемся к бесконечности, давайте рассмотрим числитель и знаменатель отдельно.
Шаг 1: Анализ числителя
Шаг 2: Анализ знаменателя
Шаг 3: Подстановка предельных значений
Шаг 4: Упрощение выражения
Ответ: Предел lim (3n − 2) / ∛(n³ − 5n² + 1) при n стремящемся к бесконечности равен 3.