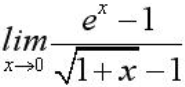
Найти предел lim (eˣ − 1) / (√(1 + x) − 1), x⟶0 
 
Другие предметы Университет Пределы функций предел высшая математика университет предел функции лимит e в степени x корень из 1 плюс x математический анализ
Чтобы найти предел lim (eˣ − 1) / (√(1 + x) − 1) при x → 0, мы можем использовать правило Лопиталя, так как при подстановке x = 0 мы получаем неопределенность вида 0/0.
Шаг 1: Подтверждение неопределенности
Итак, мы имеем 0/0, что позволяет нам применять правило Лопиталя.
Шаг 2: Применение правила Лопиталя
Правило Лопиталя гласит, что если мы имеем предел вида 0/0 или ∞/∞, то:
lim (f(x)/g(x)) = lim (f'(x)/g'(x)), если предел правой части существует.
Теперь найдем производные числителя и знаменателя:
Шаг 3: Подставляем производные в предел
Теперь мы можем записать новый предел:
lim (eˣ) / (1/(2√(1 + x))) = lim (2eˣ√(1 + x)).
Подставляем x = 0:
Таким образом, предел становится:
lim (2 * 1 * 1) = 2.
Ответ: Предел lim (eˣ − 1) / (√(1 + x) − 1) при x → 0 равен 2.