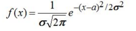
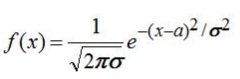
Нормальным (гауссовым) распределением вероятностей непрерывной случайной величины X называется распределение с плотностью вероятностей:



Другие предметы Университет Нормальное распределение нормальное распределение гауссово распределение плотность вероятностей непрерывная случайная величина теория вероятностей математическая статистика университетская статистика свойства нормального распределения применение нормального распределения
Нормальное (гауссово) распределение является одним из наиболее важных распределений в теории вероятностей и статистике. Оно описывает, как значения случайной величины распределяются вокруг среднего значения. Давайте рассмотрим его основные характеристики и формулу плотности вероятности.
Плотность вероятности нормального распределения задается следующей формулой:
f(x) = (1 / (σ√(2π))) * e^(-(x - μ)² / (2σ²))
где:
Характеристики нормального распределения:
Нормальное распределение также обладает свойством, известным как центральная предельная теорема, которая утверждает, что сумма (или среднее) большого числа независимых случайных величин, имеющих одинаковое распределение, будет стремиться к нормальному распределению, независимо от их исходного распределения.
Таким образом, нормальное распределение является краеугольным камнем статистики и широко используется в различных областях, включая естественные и социальные науки, экономику и инженерию.