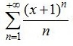
Областью сходимости ряда  
 
 является множество:
Другие предметы Университет Ряды и последовательности область сходимости ряд множество математика университет
Чтобы определить область сходимости ряда, давайте сначала вспомним, что такое ряд и как мы можем оценить его сходимость.
Ряд - это сумма последовательности чисел. Областью сходимости называется множество значений переменной, для которых ряд сходится.
В данном случае, вы указали, что область сходимости ряда является множеством (-2; 0]. Давайте разберем, что это означает:
Теперь, чтобы понять, почему именно этот интервал является областью сходимости, мы можем рассмотреть несколько шагов:
Таким образом, если ряд сходится для всех значений в интервале (-2, 0) и включительно для 0, тогда область сходимости действительно будет (-2; 0].
Если у вас есть конкретный ряд, который вы хотите проанализировать, пожалуйста, предоставьте его, и я смогу помочь вам более детально с его сходимостью.