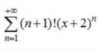
Областью сходимости ряда является множество: 
Другие предметы Университет Сходимость рядов сходимость ряда математический анализ область сходимости множество сходимости ряды и последовательности университетская математика
Область сходимости ряда - это множество значений переменной, для которых ряд сходится. Давайте разберем, что означает каждая часть написанной вами области сходимости: (-2; 3), [-2; +∞), { -2}.
Теперь давайте рассмотрим, как эти части могут взаимодействовать. Если мы рассматриваем все три части как объединение, то можно сказать, что ряд сходится для всех значений x в интервале от -2 до 3 (не включая 3) и для всех значений, начиная с -2 и до плюс бесконечности, включая -2. Таким образом, область сходимости может быть представлена как объединение этих интервалов.
Важно помнить, что для точного определения области сходимости конкретного ряда необходимо провести анализ, например, с помощью тестов на сходимость (например, тест Даламбера, тест Коши и т.д.).
Если у вас есть конкретный ряд, который вы хотите проанализировать, пожалуйста, предоставьте его, и я помогу вам определить его область сходимости более детально.