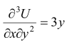
Общее решение дифференциального уравнения  имеет вид
 имеет вид
Другие предметы Университет Дифференциальные уравнения общее решение Дифференциальное уравнение математика университет методы решения математический анализ
Общее решение дифференциального уравнения зависит от его типа. Давайте рассмотрим несколько основных типов дифференциальных уравнений и их общее решение.
Обратите внимание, что для каждого типа уравнения существуют свои методы и подходы к нахождению общего решения. Если у вас есть конкретное уравнение, которое вы хотите решить, пожалуйста, предоставьте его, и я помогу вам с подробным решением!