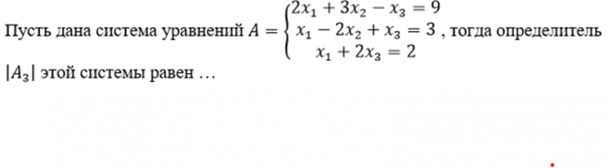
Пусть дана система уравнений А = [43] этой системы равен ... - 
 (2x1 + 3x2 x3 = 9 X3 x1 - 2х2 + x3 = 3, тогда определитель x1 +2х3 = 2 
  
Другие предметы Университет Системы линейных уравнений система уравнений математика университет определитель решения уравнений линейная алгебра x1 x2 X3 вычисление определителя
Для решения данной системы уравнений и нахождения определителя, сначала мы должны правильно записать систему. У нас есть три уравнения:
Теперь мы можем записать эту систему в матричном виде. Мы создадим матрицу коэффициентов и вектор свободных членов:
Матрица коэффициентов:
Вектор свободных членов:
Теперь мы можем найти определитель матрицы коэффициентов. Для матрицы 3x3 определитель вычисляется по формуле:
det(A) = a(ei - fh) - b(di - fg) + c(dh - eg),
где:
Теперь подставим значения в формулу:
Теперь подставим эти значения в формулу для определителя:
det(A) = 2 * (-4) - 3 * 1 + 1 * 2 = -8 - 3 + 2 = -9.
Таким образом, определитель данной системы уравнений равен:
-9