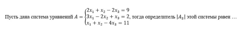
Пусть дана система уравнений А, тогда определитель этой системы равен ... 
 
Другие предметы Университет Определители и системы линейных уравнений система уравнений определитель математика университет линейная алгебра решение уравнений математические методы
Для того чтобы определить, чему равен определитель системы уравнений, необходимо сначала понять, что мы имеем в виду под "системой уравнений". Обычно, когда мы говорим о системе линейных уравнений, мы имеем в виду матрицу коэффициентов этой системы.
Определитель матрицы коэффициентов системы линейных уравнений используется для проверки существования и единственности решения системы. Если определитель матрицы не равен нулю, то система имеет единственное решение. Если определитель равен нулю, то система может иметь либо бесконечно много решений, либо не иметь их вовсе.
Рассмотрим шаги, которые необходимо выполнить, чтобы найти определитель матрицы:
Таким образом, определитель системы уравнений равен определителю матрицы коэффициентов этой системы. Важно помнить, что определитель можно вычислить только для квадратной матрицы, то есть количество уравнений должно совпадать с количеством переменных.