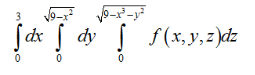
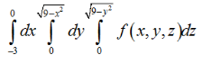
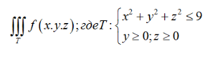
Чтобы правильно расставить пределы интегрирования, нужно понимать, какую область мы интегрируем и какие функции рассматриваем. Давайте рассмотрим несколько шагов, которые помогут вам в этом процессе.
- Определите функции: Сначала нужно четко определить функции, которые вы будете интегрировать. Это могут быть функции, заданные графически, аналитически или в виде уравнений.
- Определите область интегрирования: Посмотрите на графики функций или на уравнения. Область интегрирования может быть ограничена пересечениями этих функций или заданными значениями.
- Найдите точки пересечения: Если ваши функции пересекаются, найдите точки их пересечения. Это поможет установить нижний и верхний пределы интегрирования. Для этого решите уравнение, равное двум функциям.
- Выберите порядок интегрирования: Если вы интегрируете по двум переменным, решите, в каком порядке будете интегрировать. Это может повлиять на пределы интегрирования. Например, если вы сначала интегрируете по x, а затем по y, то пределы для x могут зависеть от y.
- Запишите пределы: После того как вы определили область интегрирования, запишите пределы. Например, если вы интегрируете функцию f(x) от a до b, то пределы будут [a, b]. Если это двойной интеграл, то пределы могут выглядеть как: ∫∫ f(x, y) dy dx с определенными пределами для y и x.
Пример:
Допустим, у нас есть функции y = x^2 и y = x + 2. Мы хотим найти область, которую они ограничивают.
- Находим точки пересечения: решаем уравнение x^2 = x + 2.
- Преобразуем: x^2 - x - 2 = 0. Находим корни: (x - 2)(x + 1) = 0, т.е. x = 2 и x = -1.
- Теперь мы знаем, что функции пересекаются в точках x = -1 и x = 2.
- Следовательно, пределы интегрирования по x будут от -1 до 2.
Таким образом, вы можете установить пределы интегрирования, основываясь на анализе функций и их пересечений. Если у вас есть конкретный пример или задача, пожалуйста, предоставьте ее, и я помогу вам более детально!