Разложение функции е2x+3в ряд Тейлора в точке х = 1 имеет вид:



Другие предметы Университет Ряд Тейлора разложение функции ряд Тейлора математика университет е2x+3 точка х=1
Чтобы разложить функцию e^(2x + 3) в ряд Тейлора в точке x = 1, нам нужно выполнить несколько шагов. Давайте рассмотрим их по порядку.
Наша функция: f(x) = e^(2x + 3). Точка разложения: x = 1.
Для разложения в ряд Тейлора нам нужны значения функции и её производных в точке x = 1. Начнём с первой производной:
Теперь подставим x = 1 в найденные производные:
Ряд Тейлора функции f(x) в точке a (в нашем случае a = 1) имеет вид:
f(x) = f(a) + f'(a)(x - a) + f''(a)(x - a)²/2! + f'''(a)(x - a)³/3! + ...
Теперь подставим найденные значения в формулу:
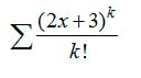
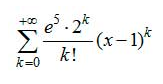
f(x) = e^5 + 2 * e^5 * (x - 1) + (4 * e^5 / 2!)(x - 1)² + (8 * e^5 / 3!)(x - 1)³ + ...
Таким образом, ряд Тейлора для функции e^(2x + 3) в точке x = 1 можно записать как:
f(x) = e^5 * (1 + 2(x - 1) + (2(x - 1)²) + (4/3)(x - 1)³ + ...)
Это и будет разложение функции e^(2x + 3) в ряд Тейлора в точке x = 1.