Решением задачи Коши  является:
является: 
 
 
Другие предметы Университет Дифференциальные уравнения задача Коши решение задачи Коши математика университет уравнения математический анализ функции Дифференциальные уравнения студенты математики
Чтобы понять, что такое задача Коши и как найти её решение, давайте разберем данный вопрос по шагам.
1. Определение задачи Коши:
Задача Коши для обыкновенных дифференциальных уравнений (ОДУ) имеет вид:
2. Анализ данного уравнения:
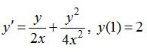
В вашем вопросе упоминается уравнение вида:
Здесь мы видим несколько функций, которые могут быть решениями. Давайте разберем каждую из них:
3. Решение уравнения:
4. Заключение:
Таким образом, все три функции могут быть решениями задачи Коши, но для того, чтобы точно определить, какая из них является решением конкретной задачи, нужно знать начальные условия. Если, например, начальные условия таковы, что y(0) = 1, то мы можем определить значение C в функции y = 2x + C.
Если у вас есть конкретные начальные условия, пожалуйста, предоставьте их, и мы сможем найти точное решение задачи Коши.