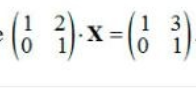
Решить матричное уравнение:
Варианты ответа:

Другие предметы Университет Матричные уравнения линейная алгебра аналитическая геометрия матричное уравнение университет решение уравнения математические задачи высшая математика учебные материалы студенческие задания подготовка к экзаменам
Для решения матричного уравнения давайте рассмотрим его общий вид. Предположим, что у нас есть матричное уравнение вида:
A * X = B
где A и B - известные матрицы, а X - матрица, которую мы хотим найти. Чтобы решить это уравнение, следуйте следующим шагам:
X = A^(-1) * B
Теперь у вас есть матрица X, которая является решением уравнения. Если у вас есть конкретные матрицы A и B, вы можете подставить их значения и выполнить шаги выше для получения решения.
Если у вас есть дополнительные вопросы или требуется помощь с конкретными матрицами, пожалуйста, предоставьте их, и я помогу вам с решением!