Чтобы определить, сходится или расходится ряд, необходимо использовать различные критерии сходимости. Давайте рассмотрим несколько основных шагов, которые помогут вам в этом процессе.
1. Определите вид рядаСначала необходимо понять, какой ряд вы рассматриваете. Например, это может быть ряд чисел, ряд функций или другой тип. Запишите его в явном виде.
2. Проверьте условия на сходимостьСуществует множество тестов для проверки сходимости рядов. Вот некоторые из них:
После выбора подходящего теста, примените его к вашему ряду. Например, если вы используете тест сравнения, найдите аналогичный ряд и сравните их члены.
4. Сделайте выводНа основе результатов применения теста сделайте вывод о сходимости или расходимости вашего ряда. Если результат теста показывает, что ряд сходится, то можно утверждать, что он сходится, и наоборот.
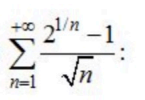
Пример:
Таким образом, чтобы определить, сходится или расходится ряд, необходимо внимательно проанализировать его и применить соответствующие тесты сходимости.