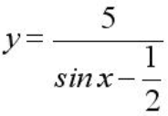
Точками разрыва функции y = 5 / (sinx − 1/2) являются
Другие предметы Университет Точки разрыва функций точки разрыва функции высшая математика университет синус функции анализ функций математические функции учебные материалы решения задач математические теории
Для нахождения точек разрыва функции y = 5 / (sin(x) - 1/2) нужно определить, когда знаменатель этой функции равен нулю, так как деление на ноль приводит к разрыву.
Итак, нам нужно решить уравнение:
sin(x) - 1/2 = 0
Это уравнение можно переписать как:
sin(x) = 1/2
Теперь давайте вспомним, когда синус равен 1/2. Это происходит в следующих точках:
Таким образом, точки разрыва функции определяются следующими значениями:
Теперь, для того чтобы выразить эти точки разрыва в более компактной форме, мы можем заметить, что:
Это также можно записать как:
Таким образом, точки разрыва функции y = 5 / (sin(x) - 1/2) действительно включают в себя указанные вами значения:
Эти значения являются точками разрыва функции, где знаменатель становится равным нулю.