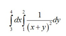
Вычислить двойной интеграл 
Другие предметы Университет Двойные интегралы двойной интеграл математический анализ университет вычисление интегралов интегралы математические задачи высшая математика подготовка к экзаменам
Для вычисления двойного интеграла, который представлен в виде выражения 2πln(25/24)18ln(5/2), давайте сначала разберемся с его структурой. На первый взгляд, это выражение не выглядит как стандартный двойной интеграл, так как оно представлено в виде произведения чисел и логарифмов. Тем не менее, мы можем рассмотреть это как задачу, связанную с вычислением интеграла.
Если бы у нас был двойной интеграл, например, по области D функции f(x, y), мы могли бы записать его в виде:
Однако в вашем случае у нас есть конкретное выражение, и если мы просто хотим его вычислить, мы можем сделать это следующим образом:
Если вам нужно конкретное числовое значение, вы можете использовать калькулятор для вычисления логарифмов и подставить их в выражение.
Таким образом, мы не имеем классического двойного интеграла, а просто вычисляем выражение, используя свойства логарифмов и чисел. Если у вас есть конкретные границы интегрирования или функция для интегрирования, пожалуйста, уточните, и я помогу вам с решением задачи более подробно.