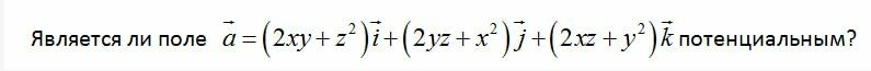
 Является ли поле потенциальным?
Является ли поле потенциальным?
Другие предметы Университет Потенциальные поля поле потенциальным векторный анализ свойства поля математическая физика университетский курс
Чтобы определить, является ли векторное поле потенциальным, необходимо выполнить несколько шагов. Потенциальное поле - это такое векторное поле, которое можно представить как градиент некоторой скалярной функции. Давайте рассмотрим, как это сделать:
Если в результате всех этих шагов вы пришли к выводу, что ротация равна нулю, и вы смогли найти скалярную функцию, то поле F является потенциальным. Если же ротация не равна нулю, то поле не является потенциальным.