Запишите выражение для расчета номинального коэффициента усиления каскада ОЭ. Укажите выражение для расчета номинального коэффициента усиления каскада ОЭ. 
 





Другие предметы Университет Каскады усилителей схемотехника университет номинальный коэффициент усиления каскад ОЭ расчет усиления электроника усилительные каскады основы схемотехники
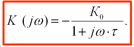
Номинальный коэффициент усиления каскада с общим эмиттером (ОЭ) можно рассчитать, основываясь на характеристиках транзистора и параметрах цепи. Основное выражение для расчета номинального коэффициента усиления выглядит следующим образом:
А = -Rc / Re
Где:
Теперь давайте подробнее разберем, как это выражение получается и какие шаги необходимо предпринять для его использования:
Таким образом, используя данное выражение и следуя указанным шагам, вы сможете рассчитать номинальный коэффициент усиления каскада с общим эмиттером.