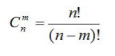
Число сочетаний из n элементов по m вычисляется по формуле:




Другие предметы Колледж Комбинаторика число сочетаний формула сочетаний теория вероятностей математическая статистика колледж комбинаторика n элементов m элементов вычисление сочетаний основы теории вероятностей
Число сочетаний из n элементов по m обозначается как C(n, m) и вычисляется по следующей формуле:
C(n, m) = n! / (m! * (n - m)!)
Давайте разберем шаги вычисления числа сочетаний с помощью этой формулы:
Таким образом, число сочетаний из 5 элементов по 2 равно 10.