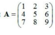
Для данной матрицы найти транспорированную: 
 
 
 Варианты ответа: 
 
Другие предметы Колледж Транспонирование матриц линейная алгебра аналитическая геометрия колледж транспонирование матрицы матричные операции учебные задачи математика для колледжа
Чтобы найти транспонированную матрицу, необходимо выполнить несколько простых шагов. Давайте рассмотрим, как это сделать на примере матрицы A.
Предположим, у нас есть матрица A, которая выглядит следующим образом:
Транспонированная матрица, обозначаемая A^T, получается путем замены строк матрицы на столбцы. Это означает, что первый столбец транспонированной матрицы будет равен первой строке исходной матрицы, второй столбец будет равен второй строке и так далее.
Теперь, собрав все столбцы вместе, мы получаем транспонированную матрицу:
Таким образом, транспонированная матрица A^T равна:
Если у вас есть конкретная матрица, для которой нужно найти транспонированную, напишите ее, и я помогу вам с решением!