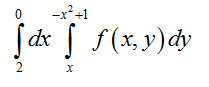
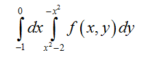
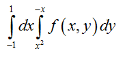
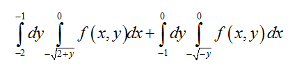
Изменить порядок интегрирования




Другие предметы Колледж Двойные интегралы изменение порядка интегрирования интегралы многомерный интеграл математический анализ колледж математика
Изменение порядка интегрирования часто встречается в многомерном интегрировании, например, при работе с двойными или тройными интегралами. Это может быть полезно, когда один из порядков интегрирования проще для вычисления, чем другой. Давайте рассмотрим, как это сделать на примере двойного интеграла.
Допустим, у нас есть двойной интеграл вида:
∫∫_D f(x, y) dA
где D - это область интегрирования. Обычно мы интегрируем по y сначала, а затем по x, или наоборот. Чтобы изменить порядок интегрирования, нужно следовать нескольким шагам:
∫∫_D f(x, y) dy dx изменится на ∫∫_D f(x, y) dx dy
Теперь вы можете вычислить интеграл в новом порядке. Не забудьте проверить, что вы правильно определили область D и пределы интегрирования.
В заключение, изменение порядка интегрирования требует внимательности и точности, но с практикой вы сможете делать это без труда!