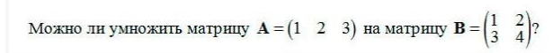
Можно ли умножить матрицу А = (1 2 3) на матрицу В = (1/3 2/4)?
Другие предметы Колледж Умножение матриц умножение матриц линейная алгебра аналитическая геометрия колледж матрица А матрица В операции с матрицами математические операции
Чтобы определить, можно ли умножить матрицы А и В, нужно проверить их размеры. Умножение матриц возможно, если количество столбцов первой матрицы равно количеству строк второй матрицы.
Рассмотрим матрицу А:
Теперь рассмотрим матрицу В:
Теперь сравним размеры:
Поскольку количество столбцов первой матрицы (А) не равно количеству строк второй матрицы (В), умножение матриц А и В невозможно.
Ответ: Нет, матрицы А и В нельзя умножить.