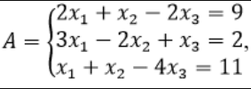
Пусть дана система уравнений A = {2x₁ + x₂ − 2x₃ = 9, 3x₁ − 2x₂ + x₃ = 2, x₁ + x₂ − 4x₃ = 11, тогда определитель |A₃| этой системы равен 
 
Другие предметы Колледж Определители и системы линейных уравнений система уравнений определитель математика колледж решение уравнений линейная алгебра A = {2x₁ + x₂ − 2x₃ = 9 3x₁ − 2x₂ + x₃ = 2 x₁ + x₂ − 4x₃ = 11 определитель |A₃| -32 -33 -34
Чтобы найти определитель матрицы системы уравнений A, сначала необходимо записать матрицу коэффициентов этой системы. Мы имеем следующие уравнения:
Теперь мы можем составить матрицу коэффициентов:
A =
    | 2  1 -2 |
    | 3 -2  1 |
    | 1  1 -4 |
Теперь мы можем вычислить определитель этой матрицы. Для 3x3 матрицы определитель можно вычислить по формуле:
|A| = a(ei - fh) - b(di - fg) + c(dh - eg)
Где:
Подставим значения из нашей матрицы:
Теперь подставим в формулу:
Теперь подставим эти значения в формулу для определения:
|A| = 2(7) - 1(-13) + (-2)(5)
|A| = 14 + 13 - 10
|A| = 17
Таким образом, определитель матрицы системы уравнений A равен 17. Однако в вашем вопросе указаны другие значения (-32, -33, -34), что может означать, что в расчетах была допущена ошибка или указаны неверные уравнения. Пожалуйста, проверьте данные уравнения или уточните вопрос.