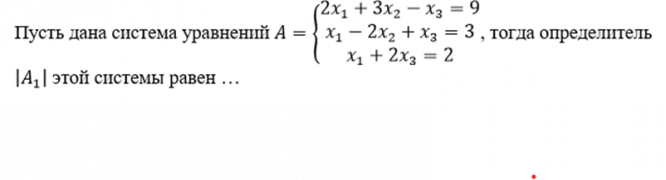
Пусть дана система уравнений A = [41] этой системы равен ...
-(2x1 + 3x2 x3 = 9 x1 - 2х2 + x3 = 3, тогда определитель x1 +2х3=2
![]()
Другие предметы Колледж Определители и системы линейных уравнений система уравнений математика колледж определитель линейные уравнения решение системы матричная algebra X1 X2 X3 математические методы
Давайте рассмотрим данную систему уравнений и найдем её определитель. Сначала запишем систему уравнений в стандартном виде:
Теперь мы запишем эту систему в виде матрицы коэффициентов и вектора свободных членов. Сначала определим матрицу коэффициентов:
| -2 -3 1 | | 1 -2 1 | | 1 0 2 |
Затем определим вектор свободных членов:
| 9 | | 3 | | 2 |
Теперь мы можем найти определитель матрицы коэффициентов. Для 3x3 матрицы определитель вычисляется по формуле:
D = a(ei - fh) - b(di - fg) + c(dh - eg)
Где:
Теперь подставим значения в формулу для вычисления определителя:
Теперь подставим все это в формулу для D:
D = -2 * (-4) - (-3) * 1 + 1 * 2 D = 8 + 3 + 2 = 13
Таким образом, определитель данной системы уравнений равен 13.