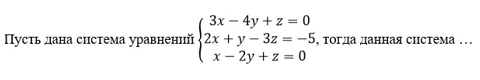
Чтобы ответить на ваш вопрос, нам сначала нужно уточнить, о какой именно системе уравнений идет речь. Однако, я могу объяснить общий подход к решению систем уравнений. Системы уравнений могут быть линейными или нелинейными, и методы их решения различаются. Рассмотрим основные шаги для решения линейной системы уравнений:
    - Проверка системы: Убедитесь, что система уравнений линейна. Линейная система имеет вид:
        
            - a1x + b1y + c1z + ... = d1
- a2x + b2y + c2z + ... = d2
- ...
 где a, b, c, ... — коэффициенты, x, y, z — переменные, и d — константы.
- Выбор метода решения: Для линейных систем уравнений обычно используют один из следующих методов:
        
            - Метод подстановки
- Метод сложения (или исключения)
- Метод матриц (метод Крамера или метод Гаусса)
 
- Решение системы: Примените выбранный метод:
        
            - Метод подстановки: Выражаете одну переменную через другую из одного уравнения и подставляете в другое.
- Метод сложения: Умножаете уравнения на такие коэффициенты, чтобы при сложении одной из переменных исключилась.
- Метод матриц: Используете матричное представление системы и решаете с помощью определителей или элементарных преобразований.
 
- Проверка решения: Подставьте найденные значения переменных в исходные уравнения, чтобы убедиться, что они удовлетворяют всем уравнениям системы.
- Интерпретация результата: В зависимости от результата, система может иметь одно решение (определенная система), бесконечно много решений (неопределенная система), или не иметь решений (несовместная система).
Если у вас конкретная система уравнений, пожалуйста, предоставьте её, и я помогу с её решением более детально.