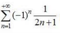
Седьмой член ряда равен:  
 
 
Другие предметы Колледж Последовательности и ряды математический анализ колледж ряд седьмой член вычисление ряда математические задачи анализ последовательностей
Чтобы найти седьмой член ряда, который равен 03/2 - 1/15, начнем с выполнения арифметических операций над дробями.
Сначала упростим дробь 03/2. Обратите внимание, что 03/2 = 3/2. Теперь у нас есть:
3/2 - 1/15
Для выполнения вычитания дробей, нам нужно привести их к общему знаменателю. Знаменатель первой дроби - 2, а второй дроби - 15. Общий знаменатель для 2 и 15 будет равен 30.
Теперь у нас есть:
45/30 - 2/30
Теперь можем вычесть дроби, так как они имеют одинаковый знаменатель:
(45 - 2) / 30 = 43 / 30
Таким образом, седьмой член ряда равен 43/30.