 
 
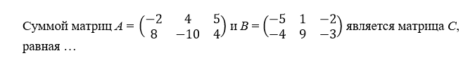
 Суммой матриц А= -2 4 5 8 -10 4 и В= -5 1 -2 -4 9 -3 является матрица С, равная ...
Другие предметы Колледж Сложение матриц сумма матриц высшая математика матрицы колледж линейная алгебра решение задач матрица C вычисление суммы матрицы A и B
Чтобы найти сумму двух матриц A и B, нам нужно сложить соответствующие элементы этих матриц. Давайте начнем с записи матриц A и B в более удобном виде.
Матрица A:
Матрица B:
Теперь мы будем складывать соответствующие элементы из матриц A и B:
Теперь мы можем записать результирующую матрицу C, которая будет состоять из найденных элементов:
Матрица C:
Таким образом, сумма матриц A и B, то есть матрица C, равна: