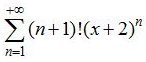
Областью сходимости ряда
является множество:
Другие предметы Университет Ряды и последовательности сходимость ряда область сходимости математический анализ университетская математика рядовые функции множество сходимости
Чтобы определить область сходимости ряда, необходимо рассмотреть его общий член и проанализировать, для каких значений переменной ряд сходится.
Рассмотрим вашу область сходимости, которая указана как множество: { -2)(-2; 3)[- 2 ;+∞ ). Давайте разберем это подробнее:
Теперь давайте проанализируем, что это означает:
Таким образом, чтобы окончательно определить область сходимости, нужно провести тесты сходимости (например, тест Даламбера, тест сравнения и т.д.) для границ интервала и отрезка.
Если у вас есть конкретный ряд, который вы хотите проанализировать, пожалуйста, предоставьте его, и я помогу вам с дальнейшими шагами!