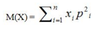
Пусть X = (x1, x2.....хn) - дискретная случайная величина, pi- вероятности появления хi. Тогда математическое ожидание М(Х) случайной величины X рассчитывается по формуле



Другие предметы Университет Математическое ожидание дискретной случайной величины математическое ожидание дискретная случайная величина теория вероятностей математическая статистика вероятности появления формула ожидания университетские курсы статистические методы случайные величины обучение в университете
Математическое ожидание дискретной случайной величины X, обозначаемое как M(X), представляет собой среднее значение, которое мы можем ожидать при многократном проведении эксперимента. Чтобы рассчитать математическое ожидание, мы используем следующую формулу:
M(X) = Σ (xi * pi)
Где:
Теперь давайте рассмотрим шаги, которые нужно выполнить для вычисления математического ожидания:
Пример:
Предположим, у нас есть случайная величина X, которая может принимать значения 1, 2 и 3 с вероятностями 0.2, 0.5 и 0.3 соответственно.
Таким образом, математическое ожидание M(X) равно 2.1.
Надеюсь, это объяснение помогло вам понять, как рассчитывать математическое ожидание дискретной случайной величины!