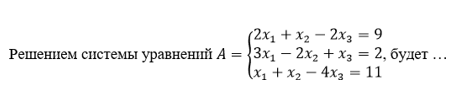
Решением системы уравнений А будет ...

Другие предметы Университет Системы уравнений система уравнений решение системы математические уравнения университетская математика линейные уравнения методы решения уравнений
Чтобы решить систему уравнений, необходимо выполнить несколько последовательных шагов. Давайте рассмотрим общий подход к решению системы линейных уравнений. Предположим, у нас есть следующая система уравнений:
Существует несколько методов для решения таких систем, включая метод подстановки, метод сложения (или исключения) и метод графического решения. Рассмотрим метод подстановки:
Это общий подход к решению системы линейных уравнений методом подстановки. В зависимости от конкретной системы уравнений, могут применяться и другие методы, такие как метод сложения или графический метод, но принцип остается тем же: найти значения переменных, которые удовлетворяют обоим уравнениям одновременно.