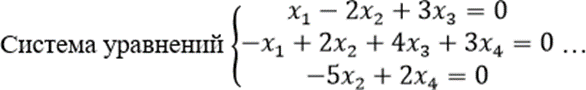
Давайте разберемся, как решить данную систему уравнений. У нас есть три уравнения с четырьмя неизвестными: x1, x2, x3 и x4. Поскольку у нас больше переменных, чем уравнений, это указывает на то, что система может иметь бесконечное множество решений. Мы можем выразить некоторые переменные через другие.
- Запишите систему уравнений:
- Уравнение 1: -x1 + 2x2 + 4x3 + 3x4 = 0
- Уравнение 2: -5x2 + 2x4 = 0
- Уравнение 3: x1 - 2x2 + 3x3 = 0
- Решите уравнение 2 для одной из переменных:
- Из уравнения 2: -5x2 + 2x4 = 0
- Решим для x2: 5x2 = 2x4, отсюда x2 = (2/5)x4
- Подставьте x2 в уравнения 1 и 3:
- Подставим x2 = (2/5)x4 в уравнение 1: -x1 + 2((2/5)x4) + 4x3 + 3x4 = 0
- Упростим: -x1 + (4/5)x4 + 4x3 + 3x4 = 0
- Это уравнение можно переписать как: -x1 + 4x3 + (19/5)x4 = 0
- Подставим x2 = (2/5)x4 в уравнение 3: x1 - 2((2/5)x4) + 3x3 = 0
- Упростим: x1 - (4/5)x4 + 3x3 = 0
- Выразите x1 из уравнения 3:
- Из уравнения 3: x1 = (4/5)x4 - 3x3
- Подставьте выражение для x1 в уравнение 1:
- Подставим x1 = (4/5)x4 - 3x3 в уравнение 1: -((4/5)x4 - 3x3) + 4x3 + (19/5)x4 = 0
- Упростим: -(4/5)x4 + 3x3 + 4x3 + (19/5)x4 = 0
- Соберем подобные: 7x3 + (15/5)x4 = 0
- Упростим: 7x3 + 3x4 = 0
- Решим для x3: 7x3 = -3x4, отсюда x3 = -(3/7)x4
- Подставьте x3 в выражение для x1:
- Теперь, когда мы знаем, что x3 = -(3/7)x4, подставим это в x1 = (4/5)x4 - 3x3
- x1 = (4/5)x4 - 3(-(3/7)x4)
- Упростим: x1 = (4/5)x4 + (9/7)x4
- Приведем к общему знаменателю: x1 = (28/35)x4 + (45/35)x4 = (73/35)x4
Итак, решения для переменных в зависимости от x4:
- x1 = (73/35)x4
- x2 = (2/5)x4
- x3 = -(3/7)x4
- x4 = x4 (параметрическое решение)
Таким образом, мы выразили все переменные через x4, что позволяет нам описать бесконечное множество решений для данной системы уравнений.