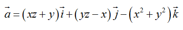
Вычислить циркуляцию векторного поля
вдоль линии L : x2 + у2 = l;z = 3
Другие предметы Университет Циркуляция векторного поля векторное поле циркуляция линия L математика университет интеграл по кривой
Для вычисления циркуляции векторного поля вдоль заданной линии L, нам нужно следовать нескольким шагам. Циркуляция векторного поля F вдоль кривой C определяется интегралом:
Циркуляция = ∮ F · dr
где F — векторное поле, dr — элементарный вектор длины вдоль кривой C.
В данном случае линия L задана уравнением окружности в плоскости xy с радиусом l (где l — это радиус окружности), и z фиксировано на уровне 30 - 2П - 3П 8П. Важно отметить, что у нас есть два параметра: радиус окружности и значение z.
Теперь давайте разберем шаги более подробно:
После выполнения всех этих шагов вы получите значение циркуляции векторного поля вдоль линии L. Если у вас есть конкретное векторное поле F, вы можете подставить его значения и выполнить вычисления.